This information belongs to the Ministério Público in
Portimão, Portugal. It was released to the public on
4 August 2008 in accordance with Portuguese Law
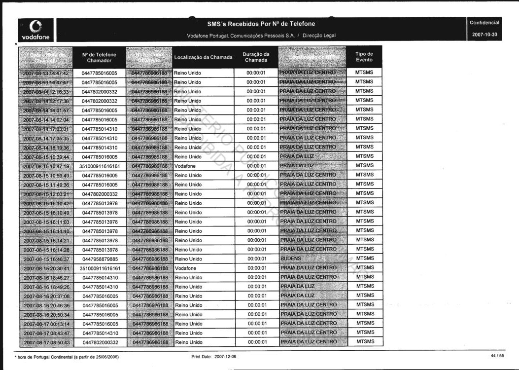
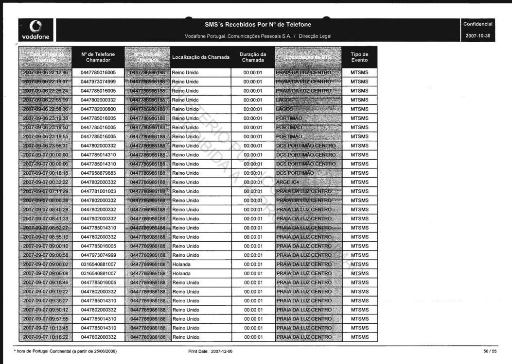
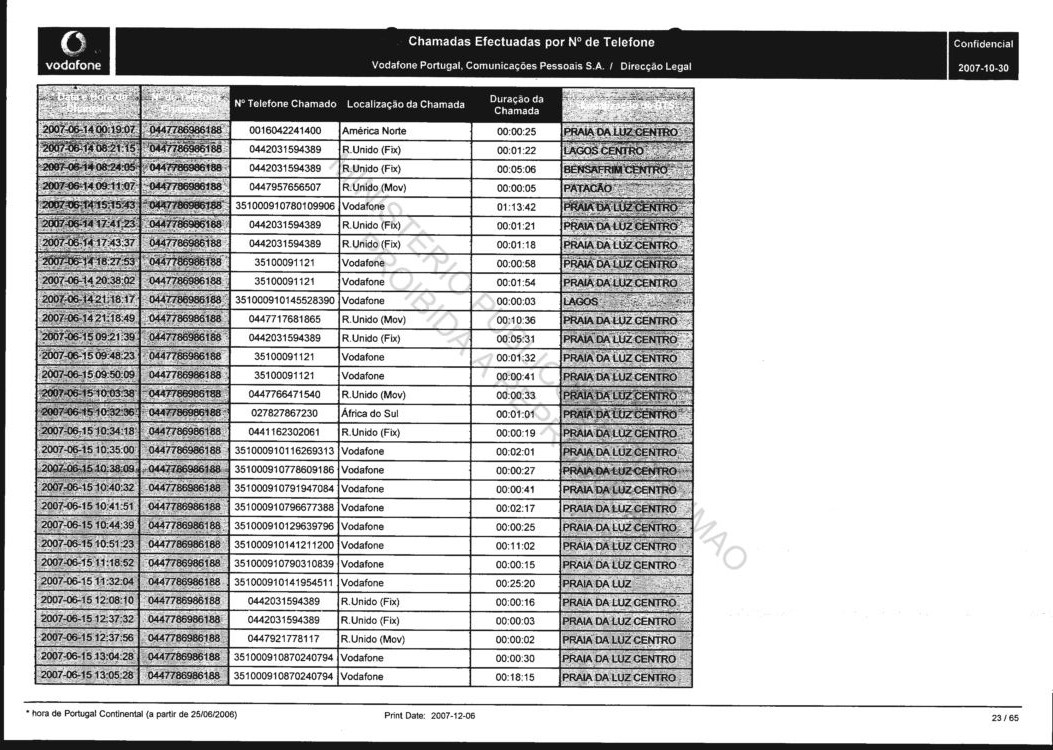
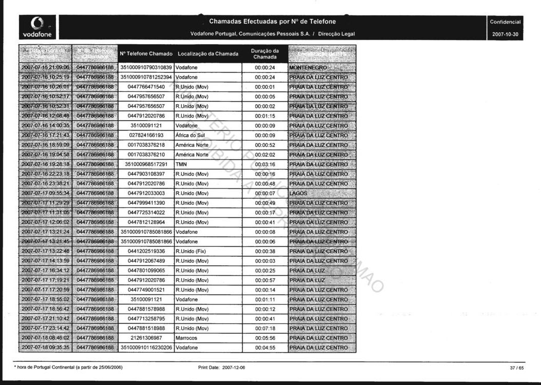
This report revolves around
Vodafone telephone traffic
for the period between
2008.04.28 through
2007.09.09.
With reference to your
letter 3503766 dated
17-10-2007 we are sending
printed and electronic
versions of the listings of
calls made and received by
the Vodaphone network for
the numbers 447786986188,
447748844837 and
447771591461 for the period
between 28-04-2007 and
09-09-2007.
With regard to the other
numbers you indicated, we
inform you that we do not
have the register of any
other calls made or received
during this period.
-->P003-p036 -188 voice out
(part 2)
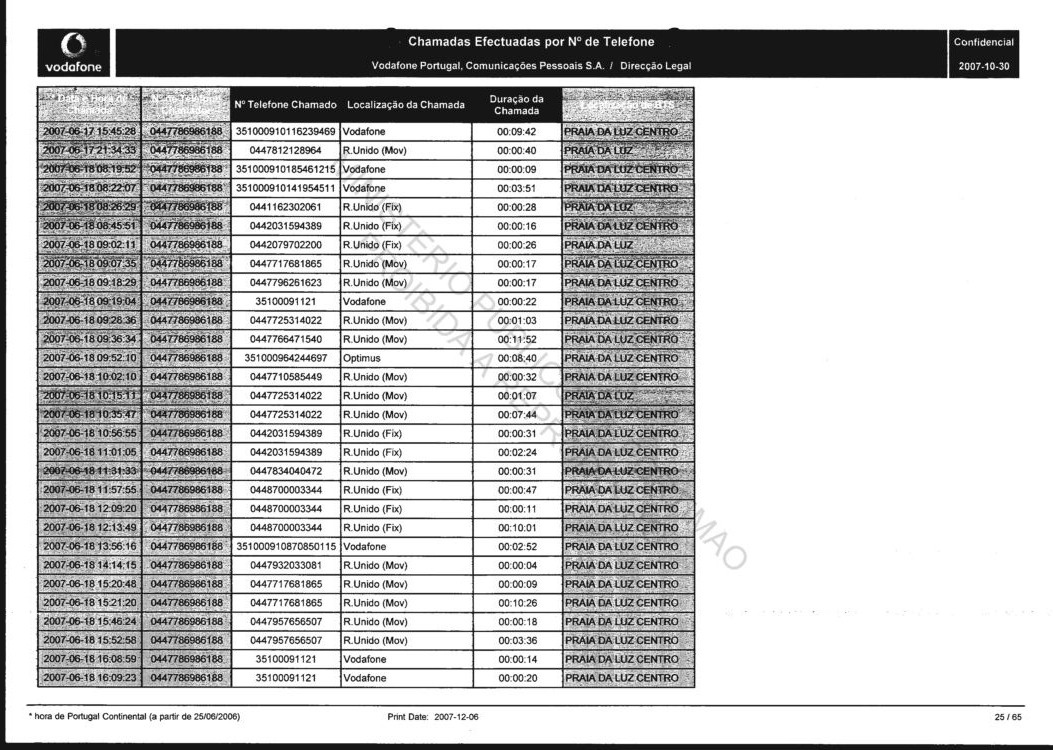
-->P037-p067 -188 voice out
(part 1)
-->P068-p090 -188 sms out
-->P091-p096 misc records
-837 and -461
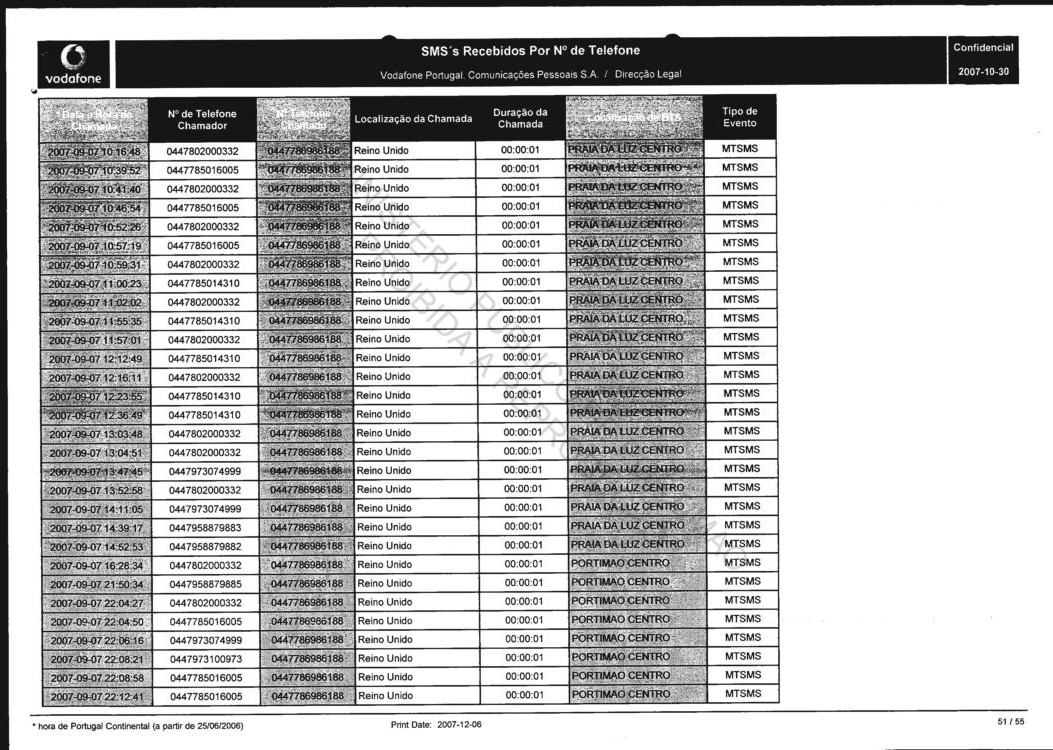
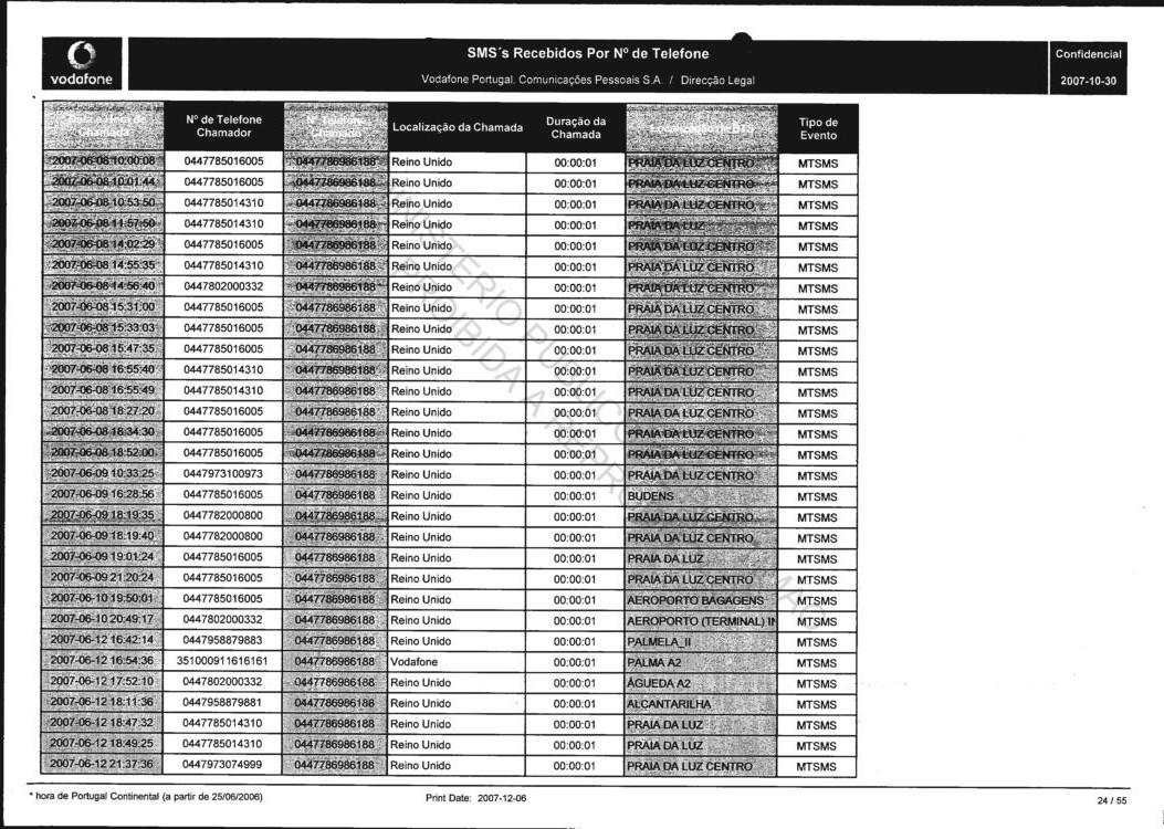
-->P097-p140 -188 voice in
-->P141-p195 -188 sms in