OFFICIAL INQUIRY FILES and DOCUMENTS
MADELEINE'S DNA

This information belongs to the Ministério Público in Portimão, Portugal.
It was released to the public on 4 August 2008 in accordance with Portuguese Law

202 to 204 Report from Ministry of Justice re analysis of vestiges with haplotype info

TRANSLATIONS BY INES

01-01-Outros Apensos I, Volume I Pages 202 to 204
01_volume_I_o_apenso_I_Page_202
01_volume_I_o_apenso_I_Page_203
Date: 28.08.2007

Letter to Dr. Gonçalo Amaral from the PT Genetic & Biological Forensic Service

I attach a response to your questions.

Warmest compliments,
Director of the Genetic & Biological Forensic Service,
Dr. Rosa Maria Espinheira


RESPONSE TO QUESTIONS

- None of the samples received by this institute were designated as relating to the missing child, so an answer to your question cannot be provided.

- Samples were investigated - hairs and cloth, and DNA profiles were obtained in only four cases and when compared with the DNA of Gerald and Kate McCann it was found that they cannot be related to the child.

- The traces were then studied for mitochondrial DNA as were all the references with results in accordance with our conclusions in the report dated July 9, 2007 - Proc 2007/000226/LX-BC.

- Regarding your request no. 5, determine if the 'profile' obtained by the British laboratory may pertain to a child of the McCann couple.

- We carried out a profile comparison obtained from the autosomal STRs of Kate McCann and Gerald McCann and of the profile sent us.

- The probability of the McCann couple being the biological parents of the female individual in that test is 99,9828 %.

Lisbon, 20th August, 2007

The Director of the Genetic & Biological Forensic Service

Dr. Rosa Maria Espinheira

 

269 Letter re contact with J. Freitas of New Scotland Yard 2007.10.01
270 to 272 Email from J. Freitas with batch transfer info re: Madeleine's DNA
01-01-Outros Apensos 01 Vol I Page 269 - 270

also 11 Processos Vol XI Page 2982 

01_volume_I_o_apenso_I_Page_269
01_volume_I_o_apenso_I_Page_270
01_volume_I_o_apenso_I_Page_271
01_volume_I_o_apenso_I_Page_272
Information

With the aim of providing the Police Scientific Laboratory with the DNA profile of Madeleine McCann, in order to be able to carry out comparisons with DNA that have been identified in the examinations requested, within the sphere of collaboration that exists between the PJ and the UK authorities, I telephoned Mr Jose de Freitas, a New Scotland Yard Officer, whom I asked to email me the childs DNA profile which was determined in analyses carried out in a UK laboratory, previously referred to in a letter that is part of this process.

In reply to my request, Mr Jose de Freitas sent me the email, I am immediately sending a copy to the Director of the Scientific Police Laboratory, Sra Saudade Nunes.

Portimao 1st October 2007

Inspector Paolo Ferreira



Followed by email (with an attachment)

From Jose de Freitas
New Scotland Yard to Inspector Ferreira


Inspector Ferreira,


DNA profile of Madeleine McCann that was collected in her parents house in England.


Regards


Jose de Freitas
New Scotland Yard
273 to 274 Emails from FSS re analysis of Madeleine's DNA
01-01-Outros Apensos 01Vol I Pages 273 - 274
01_volume_I_o_apenso_I_Page_273
01_volume_I_o_apenso_I_Page_274
Emails

22nd May 2007, 16.06

Dear all,

Please see email below. Could you please push this batch through tonight.

Thanks.



22nd May 2007. 14.58

To: Auto BF Team Leaders

FW: Submission.

All,

See below. We are expecting an unpaid P1 submission from the Madeleine McCann case coming in tonight.

Process supervisor
DNA Trident Court

From: S. Vraitch

22nd May 2007 14.48

Hi,

Just to inform you both that I have an uncharged premium one today to start tomorrow in the case of Madeleine McCann.

The details are as follows:

300655190
400895869

Item SJM/1 - one stain from pillow case for cells.

Many thanks SV
Forensic Scientist.
275 to 281 B15 Crime Sample Logging Form (Priory House) with report of Madeleine's DNA analysis
01-01-Outros Apensos 01 Vol I Page 275 to 281

B15 Crime Stain Sample Logging Form

Document reference FSS - TP - 234

Priory House

Date submitted: 22-05-2007

Sample type: Saliva (Misc)

Sample category : PI (uncharged)

Number of attempts: One only


Area description: Stain 1 pillowcase.

Comments: To be used as a surrogate reference sample.


Created on 22-05-2007
01_volume_I_o_apenso_I_Page_275
01_volume_I_o_apenso_I_Page_276
01_volume_I_o_apenso_I_Page_277
01_volume_I_o_apenso_I_Page_278
01_volume_I_o_apenso_I_Page_279
01_volume_I_o_apenso_I_Page_280
01_volume_I_o_apenso_I_Page_281
282 to 283 Email re FSS report
01-01-Outros Apensos 01 Vol I Page 282 to 283
01_volume_I_o_apenso_I_Page_282
01_volume_I_o_apenso_I_Page_283
2615 to 2616 Letter dated 11 September regarding FSS report received by PJ on on 4 September from Leicester Police, citing 15/19 matches of Madeleine DNA profile

TRANSLATED BY ALBYM

10-Processo 10 - 2615 to 2616
10VOLUME_Xa_Page_2615
10VOLUME_Xa_Page_2616

Letter dated 11 September regarding FSS report received by PJ
on on 4 September from Leicester Police, citing 15/19 matches of Madeleine DNA
profile

This serves to add
[to the case file] a laboratory examination report prepared
in England, written in English and translated into Portuguese, delivered to this
police force on 4 September 2007 by English police officer Stuart Prior.

This laboratory report tells about the examinations made of two trace evidence
recoveries, one behind the living room sofa in apartment 5A and the other in the
boot area of the vehicle used by the McCann family, hired
[by them] from the end of May this year.

In some of these recoveries (samples) DNA was found whose components are also
found in the profile of Madeleine McCann.

With respect to the trace evidence recovered behind the sofa all the confirmed
DNA components coincide with corresponding components in the DNA profile of
Madeleine McCann.

In the sample collected in the boot area of the vehicle, 15 of the identified
DNA components coincide with the corresponding components in the DNA profile of
Madeleine McCann, this of [having] 19 components.

Portimao, 11 September 2007
Inspector
Joao Carlos

2617 to 2623  Email from Stuart Prior re: FSS analysis (English) and translation into Portuguese)
See also John Lowe
10- Processo 10 - VOLUME Xa; PDF page 123-124; Case file pages 2617-2618.
10VOLUME_Xa_Page_2617
10VOLUME_Xa_Page_2618
10VOLUME_Xa_Page_2619
10VOLUME_Xa_Page_2620
10VOLUME_Xa_Page_2621
10VOLUME_Xa_Page_2622
10VOLUME_Xa_Page_2623

Task Portugal
From: "Prior Stuart" <Stuart.Prior@leicestershire.pnn.police.uk>
To: "Task Portugal" <Task.Portugal@leicestershire.pnn.police.uk>
Sent: 04 September 2007 10:14
Subject: FW: Op Task - in Confidence

From: Lowe, Mr J R [mailto:John.Lowe@fss.pnn.police.uk
Sent: 03 September 2007 15:01
To:
stuart.prior@leicestershire.pnn.police.uk
Subject: Op Task - In Confidence


Stuart

Firstly, here are the last three results you are expecting

An incomplete DNA result was obtained from cellular material on the swab 3a. The swab contained very little information and showed low level indications of DNA from more than one person. However, all of the confirmed DNA components within this result match the corresponding components in the DNA profile of Madeline McCann. LCN DNA profiling is highly sensitive it is not possible to attribute this DNA profile to a particular body fluid.

There is no evidence to support the view that Madeline MCCann contributed DNA to the swab 3B.

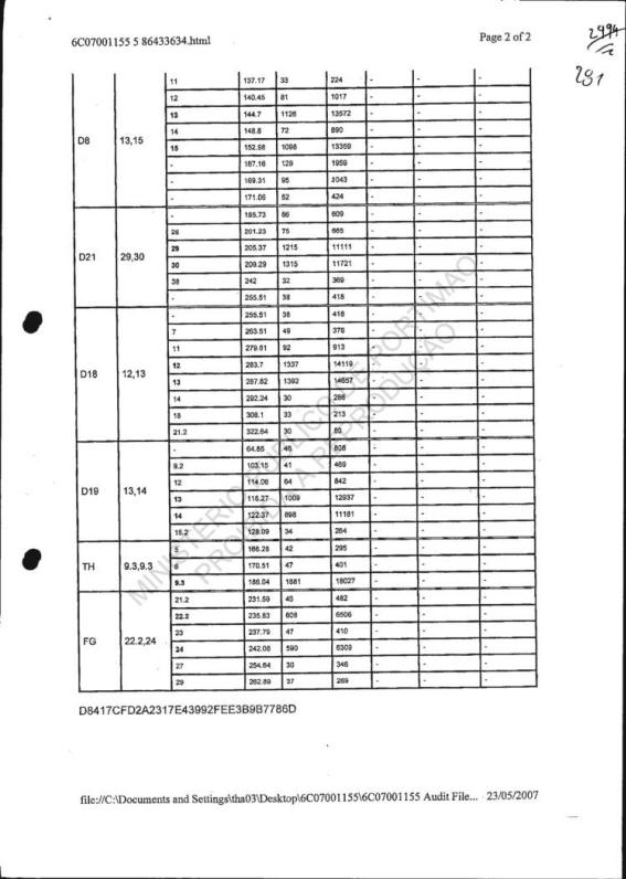
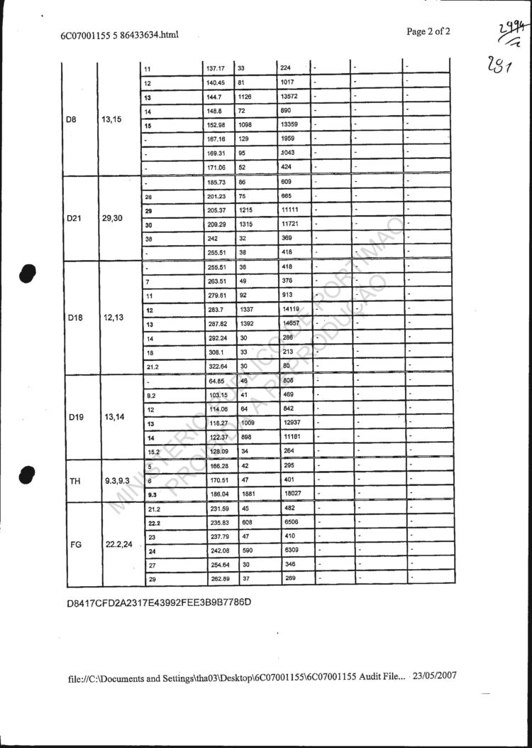
A complex LCN DNA result which appeared to have originated from at least three people was obtained from cellular material recovered from the luggage compartment section 286C 2007 CRL10 (2) area 2. Within the DNA profile of Madeline McCann there are 20 DNA components represented by 19 peaks on a chart. At one of the areas of DNA we routinely examine Madeleine has inherited the same DNA component from both parents; this appears therefore as 1 peak rather than 2, hence 19 rather than 20. Of these 19 components 15 are present within the result from this item; there are 37 components in total. There are 37 components because there are at least 3 contributors; but there could be up to five contributors. In my opinion therefore this result is too complex for meaningful interpretation/inclusion.

Why - ...

Well lets look at the question that is being asked

"Is there DNA from Madeline on the swab "

It would be very simple to say "yes" simply because of the number of components within the result that are also in her reference sample.

What we need to consider, as scientists, is whether the match is genuine and legitimate; because Madeline has deposited DNA as a result of being in the car or whether Madeline merely appears to match the result by chance. The individual components in Madeline's profile are not unique to her, it is the specific combination of 19 components that makes her profile unique above all others. Elements of Madeline's profile are also present within the the profiles of many of the scientists here in Birmingham, myself included. it's important to stress that 50% of Madeline's profile will be shared with each parent. It is not possible in a mixture of more than two people, to determine or evaluate which specific DNA components pair with each other. Namely, we cannot separate the components out into 3 individual DNA profiles.

Therefore, we cannot answer the question: is the match genuine or is it a chance match.

The same applies to any result that is quoted as being too complex for meaningful inclusion/interpretation

What questions will we never be able to answer with LCN DNA profiling -

When was the DNA deposited - 
How was the DNA deposited - 
What body fluid(s) does the DIVA originate from - 
Was a crime committed -

These, along with all other results, will be formalised in a final report

Please don't hesitate to contact me if you require any further assistance

kind regards
John

John Lowe Forensic Scientist
Major Incidents Team
Priory House
Inter Facility: 703 6973
External: 0121 607 6973
Fax: 0121 6221807


Please consider the environment before printing this e-mail

Forensic Science Service Ltd
Registered office and headquarters: Trident Court 2920 Solihull
Parkway, Birmingham Business Park, Birmingham B37 7YN United Kingdom.
Registered in England and Wales: number 5607780

The Forensic Science Service (r) is a trading name of Forensic Science

TO HELP KEEP THIS SITE ON LINE PLEASE CONSIDER

Site Policy HOME PAGE FORENSIC INDEX Contact details