OFFICIAL INQUIRY FILES and DOCUMENTS
APENSOS 05 VOLUME 09

This information belongs to the Ministério Público in Portimão, Portugal.
It was released to the public on 4 August 2008 in accordance with Portuguese Law

1923 to 1924-Sighting document from South Wales Police
apenso5_vol_9_p0
apenso5_vol_9_p0a
apenso5_vol_9_p1923
apenso5_vol_9_p1924
1925 to 1926-Email and statement re sighting in Santa Ponsa, Mallorca
apenso5_vol_9_p1925
apenso5_vol_9_p1926
1927 to 1932-Missing pages
apenso5_vol_9_p1927
MISSING PAGE
apenso5_vol_9_p1928
MISSING PAGE
apenso5_vol_9_p1929
MISSING PAGE
apenso5_vol_9_p1930
MISSING PAGE
apenso5_vol_9_p1931
MISSING PAGE
apenso5_vol_9_p1932
MISSING PAGE
1933-Cover letter
apenso5_vol_9_p1933
1934 to 1935-Document re sighting in Lisboa
apenso5_vol_9_p1934
apenso5_vol_9_p1935
1936 to 1937-Emails re sighting in Guernsey/Weymouth
apenso5_vol_9_p1936
apenso5_vol_9_p1937
1938-Email re sighting in Croatia
apenso5_vol_9_p1938
1939 to 1943-Kent Police Report
apenso5_vol_9_p1939
apenso5_vol_9_p1940
apenso5_vol_9_p1941
apenso5_vol_9_p1942
MISSING PAGE
apenso5_vol_9_p1943
MISSING PAGE
1944 to 1945-Emailr e sighting in Fuerteventura
apenso5_vol_9_p1944
apenso5_vol_9_p1944a
apenso5_vol_9_p1945
1946-Email re sighting in Malta
apenso5_vol_9_p1946
1947-Missing page
apenso5_vol_9_p1947
MISSING PAGE
1948-Servcie information re sighting in Argentina
apenso5_vol_9_p1948
1949-Servcie information re sighting in Edmonton, Canada
apenso5_vol_9_p1949
apenso5_vol_9_p1949a
1950 to 1951-Email re sighting in Morocco
apenso5_vol_9_p1950
apenso5_vol_9_p1951
1952 to 1957-Servcie information re Madeleine's whereabouts from the USA
apenso5_vol_9_p1952
apenso5_vol_9_p1953
apenso5_vol_9_p1954
apenso5_vol_9_p1955
apenso5_vol_9_p1956
apenso5_vol_9_p1957
1958-Email re sighting in Malta
apenso5_vol_9_p1958
1959-Email re yellow notice? (bad copy)
apenso5_vol_9_p1959
1960 to 1961-Email re sighting in Hamburg
apenso5_vol_9_p1960
apenso5_vol_9_p1961
1962-Email re sighting in Italy
apenso5_vol_9_p1962
1963 to 1968-Missing pages
apenso5_vol_9_p1963
MISSING PAGE
apenso5_vol_9_p1964
MISSING PAGE
apenso5_vol_9_p1965
MISSING PAGE
apenso5_vol_9_p1966
MISSING PAGE
apenso5_vol_9_p1967
MISSING PAGE
apenso5_vol_9_p1968
MISSING PAGE
1969-Servcei information re sighting in Singapore
apenso5_vol_9_p1969
1970 to 1972-Email re sighting of suspected sex offender
apenso5_vol_9_p1970
apenso5_vol_9_p1971
apenso5_vol_9_p1972
1973 to 1975-Letter re sighting in Sete Bicas Shopping Center, Portugal
apenso5_vol_9_p1973
apenso5_vol_9_p1973a
apenso5_vol_9_p1974
apenso5_vol_9_p1975
1976-Cover letter
apenso5_vol_9_p1976
1977-Interpol cover letter
apenso5_vol_9_p1977
1978 to 1981-Letter re two possible sightings in Malta
apenso5_vol_9_p1978
apenso5_vol_9_p1979
apenso5_vol_9_p1980
apenso5_vol_9_p1981
apenso5_vol_9_p1981a
1981 to 1985-Letter and pics re sighting in Irish bank
apenso5_vol_9_p1982
apenso5_vol_9_p1983
apenso5_vol_9_p1984
apenso5_vol_9_p1985
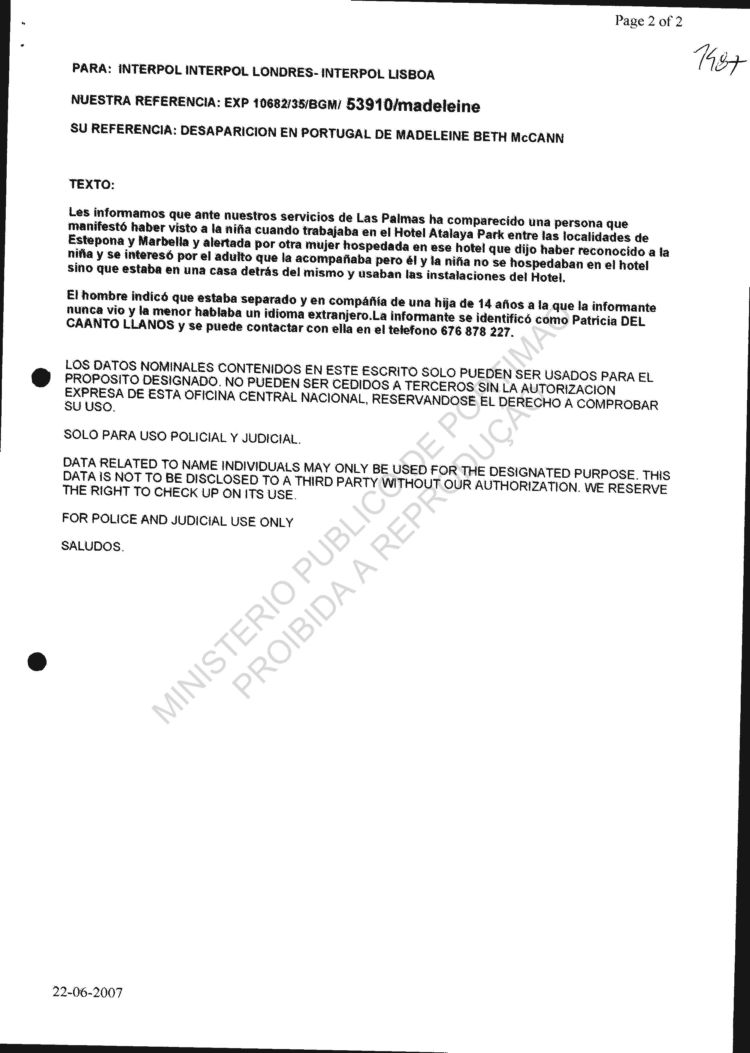
1986 to 1987-Email re sighting in Las Palmas
apenso5_vol_9_p1986
apenso5_vol_9_p1987
1988-Missing page
apenso5_vol_9_p1988
MISSING PAGE
1989-Email re sighting in Madrid
apenso5_vol_9_p1989
1990 to 1993-Missing pages
apenso5_vol_9_p1990
MISSING PAGE
apenso5_vol_9_p1991
MISSING PAGE
apenso5_vol_9_p1992
MISSING PAGE
apenso5_vol_9_p1993
MISSING PAGE
1994-Message to Crime stoppers re Madrid sighting
apenso5_vol_9_p1994
1995-Cover letter
apenso5_vol_9_p1995
1996 to 1997-Letter from Dutch police re sighting in beach with picture
apenso5_vol_9_p1996
apenso5_vol_9_p1997
1998-Missing page
apenso5_vol_9_p1998
MISSING PAGE
1999 to 2002-Email re sighting in North Ibiza
apenso5_vol_9_p1999
apenso5_vol_9_p2000
apenso5_vol_9_p2001
apenso5_vol_9_p2002
apenso5_vol_9_p2002a
2003 to 2005-Email re sighting in Madeira
apenso5_vol_9_p2003
apenso5_vol_9_p2004
apenso5_vol_9_p2005
2006-Missing page
apenso5_vol_9_p2006
MISSING PAGE
2007-Email re sighting in beach in Portugal
apenso5_vol_9_p2007
2008 to 2009-Missing pages
apenso5_vol_9_p2008
MISSING PAGE
apenso5_vol_9_p2009
MISSING PAGE
2010 to 2012-Statement re sighting in Cyprus
apenso5_vol_9_p2010
apenso5_vol_9_p2011
apenso5_vol_9_p2012
2013 to 2018-Email with attachments/pics
apenso5_vol_9_p2013
apenso5_vol_9_p2014
apenso5_vol_9_p2015
apenso5_vol_9_p2016
apenso5_vol_9_p2017
apenso5_vol_9_p2018
2019 to 2020-Service information re sighting in Geneva
apenso5_vol_9_p2019
apenso5_vol_9_p2020
apenso5_vol_9_p2020a
2021 to 2025-Statement re sighting in Cadiz
apenso5_vol_9_p2021
apenso5_vol_9_p2022
apenso5_vol_9_p2023
MISSING PAGE
apenso5_vol_9_p2024
apenso5_vol_9_p2025
2026-Missing page
apenso5_vol_9_p2026
MISSING PAGE
2027-Service information re sighting in France
apenso5_vol_9_p2027
apenso5_vol_9_p2027a
apenso5_vol_9_p2027b
2028-Cover letter
apenso5_vol_9_p2028
2029 to 2030-Service information re sighting in Coimbra
apenso5_vol_9_p2029
apenso5_vol_9_p2030
apenso5_vol_9_p2030a
2031 to 2032-Email re sighting in Mexico
apenso5_vol_9_p2031
apenso5_vol_9_p2032
2033 to 2034-Service information re sighting in Lisboa
apenso5_vol_9_p2033
apenso5_vol_9_p2034
2035-Missing page
apenso5_vol_9_p2035
MISSING PAGE
2036 to 2037-Email re sighting in Malta
apenso5_vol_9_p2036
apenso5_vol_9_p2037
2038 to 2039-Email re sighting in Mallorca
apenso5_vol_9_p2038
apenso5_vol_9_p2039
apenso5_vol_9_p2039a
2040-Statement re sighting in Rio de Janeiro, Brasil
apenso5_vol_9_p2040
2041 to 2045-Missing pages
apenso5_vol_9_p2041
MISSING PAGE
apenso5_vol_9_p2042
MISSING PAGE
apenso5_vol_9_p2043
MISSING PAGE
apenso5_vol_9_p2044
MISSING PAGE
apenso5_vol_9_p2045
MISSING PAGE
2046-Email re sighting in Corfu
apenso5_vol_9_p2046
2047-Missing page
apenso5_vol_9_p2047
MISSING PAGE
2048 to 2049-Service information re sighting in Karlsbad
apenso5_vol_9_p2048
apenso5_vol_9_p2049
2050 to 2055-Missing pages
apenso5_vol_9_p2050
MISSING PAGE
apenso5_vol_9_p2051
MISSING PAGE
apenso5_vol_9_p2052
MISSING PAGE
apenso5_vol_9_p2053
MISSING PAGE
apenso5_vol_9_p2054
MISSING PAGE
apenso5_vol_9_p2055
2056 to 2057-Email re sighting in Menorca
apenso5_vol_9_p2056
apenso5_vol_9_p2057
2058 to 2060-Missing pages
apenso5_vol_9_p2058
MISSING PAGE
apenso5_vol_9_p2059
MISSING PAGE
apenso5_vol_9_p2060
MISSING PAGE
2061-Email re sighting in Italy
apenso5_vol_9_p2061
2062-SOCA statement re sighting in Positano, Italy
apenso5_vol_9_p2062
2063-Email re sighting on flight to Brussels
apenso5_vol_9_p2063
2064 to 2067-Missing pages
apenso5_vol_9_p2064
apenso5_vol_9_p2065
MISSING PAGE
apenso5_vol_9_p2066
MISSING PAGE
apenso5_vol_9_p2067
MISSING PAGE
2068-Dutch document
apenso5_vol_9_p2068
2069-Photo fit of Dutch suspect
apenso5_vol_9_p2069
2070 to 2071-Dutch document
apenso5_vol_9_p2070
apenso5_vol_9_p2071
2072 to 2076-Portuguese translation of Dutch documents
apenso5_vol_9_p2072
apenso5_vol_9_p2073
apenso5_vol_9_p2074
apenso5_vol_9_p2075
apenso5_vol_9_p2076
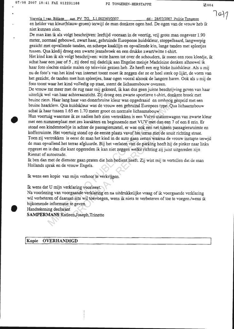
2077-Email re DNA taken from straw in Dutch snack bar/restaurant
apenso5_vol_9_p2077
2078 to 2080-Missing pages
apenso5_vol_9_p2078
apenso5_vol_9_p2079
MISSING PAGE
apenso5_vol_9_p2080
MISSING PAGE
2081-Email with cover information re crime stoppers information
apenso5_vol_9_p2081
2082 to 2085-Email re sighting in Cadiz
apenso5_vol_9_p2082
apenso5_vol_9_p2083
2084-Written correspondence re Dutch sightings
apenso5_vol_9_p2084
apenso5_vol_9_p2084a
apenso5_vol_9_p2084b
2085-Missing page
apenso5_vol_9_p2085
2086 to 2087-Fax cover page
apenso5_vol_9_p2086
apenso5_vol_9_p2087
2088 to 2099-Dutch document
apenso5_vol_9_p2088
apenso5_vol_9_p2089
apenso5_vol_9_p2090
apenso5_vol_9_p2091
apenso5_vol_9_p2092
apenso5_vol_9_p2093
apenso5_vol_9_p2094
apenso5_vol_9_p2095
apenso5_vol_9_p2096
apenso5_vol_9_p2097
apenso5_vol_9_p2098
apenso5_vol_9_p2099
apenso5_vol_9_p2099a
2100 to 2101-Email re sighting in McDonalds in California
apenso5_vol_9_p2100
apenso5_vol_9_p2101
2102-Missing page
apenso5_vol_9_p2102
MISSING PAGE
2103 to 2106-Further info re California McDonald's sighting
apenso5_vol_9_p2103
apenso5_vol_9_p2104
apenso5_vol_9_p2105
MISSING PAGE
apenso5_vol_9_p2106

TO HELP KEEP THIS SITE ON LINE PLEASE CONSIDER

Site Policy HOME PAGE Contact details