OFFICIAL INQUIRY FILES and DOCUMENTS
APENSOS 05 VOLUME 08

This information belongs to the Ministério Público in Portimão, Portugal.
It was released to the public on 4 August 2008 in accordance with Portuguese Law

1680-Service Information re sighting on highway linking Silves/S. Bartolomeu de Messines
apenso5_vol_8_p0
apenso5_vol_8_0a
apenso5_vol_8_p1680
1681-Vehicle registration search
apenso5_vol_8_p1681
1682-Email re Malta sighting
apenso5_vol_8_p1682
1683 to 1684-Email re sighting in Ipanema, Brasil
apenso5_vol_8_p1683
apenso5_vol_8_p1684
apenso5_vol_8_p1684a
1685 to 1695-Email re sighting in Gale resort
apenso5_vol_8_p1685
apenso5_vol_8_p1686
apenso5_vol_8_p1687
apenso5_vol_8_p1688
apenso5_vol_8_p1689
apenso5_vol_8_p1690
apenso5_vol_8_p1691
apenso5_vol_8_p1692
apenso5_vol_8_p1693
apenso5_vol_8_p1694
apenso5_vol_8_p1695
1696 to 1699-Documentation from Belgium re sighting
apenso5_vol_8_p1696
MISSING PAGE
apenso5_vol_8_p1697
apenso5_vol_8_p1698
apenso5_vol_8_p1699
1700 to 1701-Email re Malta sightings
apenso5_vol_8_p1700
apenso5_vol_8_p1701
1702-Service information re sighting in McDonalds in Braga
apenso5_vol_8_p1702
1703 to 1704-Service information from third party re sighting in Portugal
apenso5_vol_8_p1703
apenso5_vol_8_p1704
1705-Email with pdf attachment
apenso5_vol_8_p1705
1706 to 1714-Statements and findings re sighting in Preston
apenso5_vol_8_p1706
apenso5_vol_8_p1707
apenso5_vol_8_p1708
apenso5_vol_8_p1709
apenso5_vol_8_p1710
apenso5_vol_8_p1711
apenso5_vol_8_p1712
apenso5_vol_8_p1713
apenso5_vol_8_p1714
1715-Missing page
apenso5_vol_8_p1715
MISSING PAGE
1716 to 1717-Email re sighting near Marbella golf resort
apenso5_vol_8_p1716
apenso5_vol_8_p1717
1718 to 1719-Email and details re sighting in Cape Town, South Africa
apenso5_vol_8_p1718
apenso5_vol_8_p1719
1720-Information about little boy seen with two South African men
apenso5_vol_8_p1720
1721-"Men Flee With Child" news story from Table Mountain, Cape Town
apenso5_vol_8_p1721
1722-"Missing Child Search Resumes" from Table Mountain, Cape Town
apenso5_vol_8_p1722
1723-Service information re sighting on Calle Alexander Sacher
apenso5_vol_8_p1723
apenso5_vol_8_p1723a
1724-Correspondence
apenso5_vol_8_p1724
1725-Service information re sighting in Toulouse e Bourdeaux
apenso5_vol_8_p1725
1726-Fax cover page
apenso5_vol_8_p1726
1727-Confirmation of fax
apenso5_vol_8_p1727
1728 - Sighting of Madeleine on bus in Albufeira
apenso5_vol_8_p1728
1729  - "Missing or Misplaced" page.
apenso5_vol_8_p1729
MISSING PAGE
1730  -  reported sighting in Valetta, Malta. (also associated with report re sighting in Buggiba, Malta"
apenso5_vol_8_p1730
1731-Interpol document re sighting in Malta
apenso5_vol_8_p1731
1732-Interpol document re sighting in Oslo
apenso5_vol_8_p1732
1733-Missing page
apenso5_vol_8_p1733
MISSING PAGE
1734-Statement of sighting in Costa del Sol
apenso5_vol_8_p1734
1735-Missing page
apenso5_vol_8_p1735
MISSING PAGE
1736-Email re sighting in Cape Town, South Africa
apenso5_vol_8_p1736
apenso5_vol_8_p1736a
1737-Crimestoppers document re sighting in Italy
apenso5_vol_8_p1737
1738 to 1740-Missing pages
apenso5_vol_8_p1738
MISSING PAGE
apenso5_vol_8_p1739
MISSING PAGE
apenso5_vol_8_p1740
MISSING PAGE
1741-Email re sighting in Kenya
apenso5_vol_8_p1741
1742-SOCA document re sighting in Tanzania
apenso5_vol_8_p1742
1743 -   Missing pages
apenso5_vol_8_p1743
MISSING PAGE
1744 -   Report re sighting at Water Park/Lizard House, in Malta"
apenso5_vol_8_p1744
1745 to 1754 - Missing pages
apenso5_vol_8_p1745
MISSING PAGE
apenso5_vol_8_p1746
MISSING PAGE
apenso5_vol_8_p1747
MISSING PAGE
apenso5_vol_8_p1748
MISSING PAGE
apenso5_vol_8_p1749
MISSING PAGE
apenso5_vol_8_p1750
MISSING PAGE
apenso5_vol_8_p1751
MISSING PAGE
apenso5_vol_8_p1752
MISSING PAGE
apenso5_vol_8_p1753
MISSING PAGE
apenso5_vol_8_p1754
MISSING PAGE
1755 to 1757-Service information with sighting details (Sintra, Portugal)
apenso5_vol_8_p1755
apenso5_vol_8_p1756
apenso5_vol_8_p1757
1758 to 1759-Email re sighting on Orkut.com
apenso5_vol_8_p1758
apenso5_vol_8_p1759
1760-Missing page
apenso5_vol_8_p1760
MISSING PAGE
1761-Statement re sighting at Heathrow Airport
apenso5_vol_8_p1761
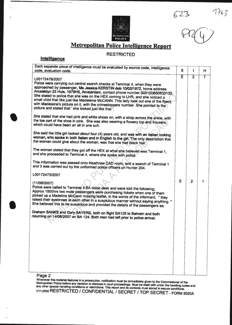
1762 to 1764-Metropolitan Police Intelligence Report
apenso5_vol_8_p1762
apenso5_vol_8_p1763
apenso5_vol_8_p1764
1765 to 1766-Email re sighting in Gatwick Airport
apenso5_vol_8_p1765
apenso5_vol_8_p1766
1767-Missing page
apenso5_vol_8_p1767
MISSING PAGE
1768-Statement re sighting in Malta
apenso5_vol_8_p1768
1769 to 1777-Missing pages
apenso5_vol_8_p1769
MISSING PAGE
apenso5_vol_8_p1770
MISSING PAGE
apenso5_vol_8_p1771
MISSING PAGE
apenso5_vol_8_p172
MISSING PAGE
apenso5_vol_8_p1773
MISSING PAGE
apenso5_vol_8_p1774
MISSING PAGE
apenso5_vol_8_p1775
MISSING PAGE
apenso5_vol_8_p1776
MISSING PAGE
apenso5_vol_8_p1777
MISSING PAGE
1778-Email re sighting in Spain
apenso5_vol_8_p1778
1779 to 1784-Leicestershire constabulary detail sheet re Peterborough sighting
apenso5_vol_8_p1779
apenso5_vol_8_p1780
apenso5_vol_8_p1781
apenso5_vol_8_p1782
apenso5_vol_8_p1783
apenso5_vol_8_p1784
1785-Officer's report re sighting in Torrevieca, Spain
apenso5_vol_8_p1785
apenso5_vol_8_p1785a
1786 to 1787-Pages badly copied and hard to read
apenso5_vol_8_p1786
apenso5_vol_8_p1787
1788 to 1789-Officer's report re sighting in Bugibba
apenso5_vol_8_p1788
apenso5_vol_8_p1789
1790-Email re verifications of sighting in Spain
apenso5_vol_8_p1790
1791 to 1792-Crimestoppers report re sighting in Almancil
apenso5_vol_8_p1791
apenso5_vol_8_p1792
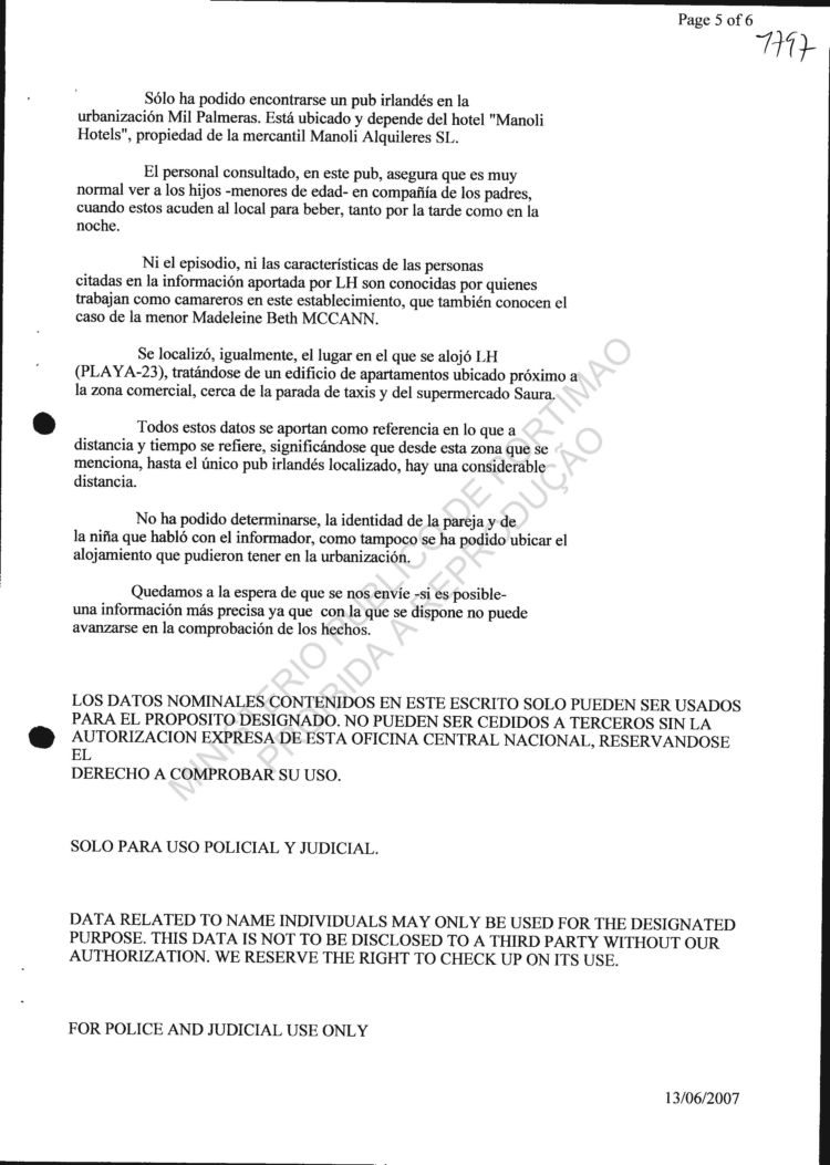
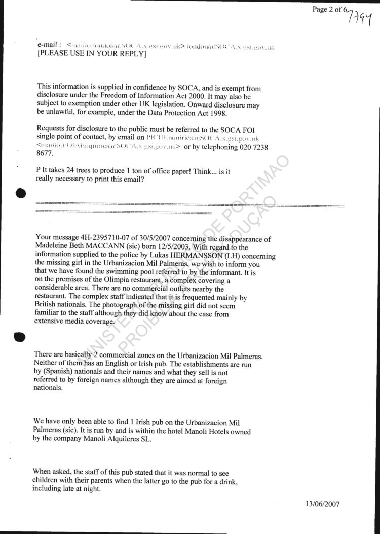
1793 to 1795-Email re sighting in Mil Palmeras, Spain
apenso5_vol_8_p1793
apenso5_vol_8_p1794
apenso5_vol_8_p1795
1796 to 1798-Email from Interpol Spain re Mil Palmeras sighting
apenso5_vol_8_p1796
apenso5_vol_8_p1797
apenso5_vol_8_p1798
1799 to 1801-Missing pages
apenso5_vol_8_p1799
MISSING PAGE
apenso5_vol_8_p1800
MISSING PAGE
apenso5_vol_8_p1801
MISSING PAGE
1802-Email re sighting on Rhodes
apenso5_vol_8_p1802
1803-SOCA report re sighting on Island of Rhodes
apenso5_vol_8_p1803
1804 to 1805-Email re sighting if two males with child in South Africa
apenso5_vol_8_p1804
apenso5_vol_8_p1805
apenso5_vol_8_p1805a
1806-Fax cover sheet
apenso5_vol_8_p1806
1807-Statement re sighting in Portugal
apenso5_vol_8_p1807
1808-Service information re sighting in Morocco
apenso5_vol_8_p1808
1809-Email re sighting in Malta
apenso5_vol_8_p1809
1810 to 1811-Kent Police report
apenso5_vol_8_p1810
apenso5_vol_8_p1811
1812 to 1814-Missing pages
apenso5_vol_8_p1812
MISSING PAGE
apenso5_vol_8_p1813
MISSING PAGE
apenso5_vol_8_p1814
MISSING PAGE
1815-Kent Police Restricted Officer's Report
apenso5_vol_8_p1815
apenso5_vol_8_p1815a
1816-Document regarding correspondence from IP Roma
apenso5_vol_8_p1816
1817-Document re sighting in Italy
apenso5_vol_8_p1817
1818-Email re sighting in Cleveland, Ohio
apenso5_vol_8_p1818
1819 to 1820-Police Incident Message re sighting
apenso5_vol_8_p1819
apenso5_vol_8_p1820
1821-Missing page
apenso5_vol_8_p1821
MISSING PAGE
1822-Email re crimestoppers message
apenso5_vol_8_p1822
1823 to 1824-Missing pages
apenso5_vol_8_p1823
MISSING PAGE
apenso5_vol_8_p1824
MISSING PAGE
1825 to 1826-Email re sighting in Palermo, Italy
apenso5_vol_8_p1825
apenso5_vol_8_p1826
1827 to 1829-Service Information re sighting near Hotel Monumental Lido
apenso5_vol_8_p1827
apenso5_vol_8_p1828
apenso5_vol_8_p1829
1830-Missing page
apenso5_vol_8_p1830
1831-Email re sighting in Messines
apenso5_vol_8_p1831
1832-Missing page
apenso5_vol_8_p1832
MISSING PAGE
1833 to 1834-Incident report re sighting in Spain
apenso5_vol_8_p1833
apenso5_vol_8_p1834
1835-Leicestershire Constabulary Officer's Report
apenso5_vol_8_p1835
1836-Missing page
apenso5_vol_8_p1836
MISSING PAGE
1837 to 1838-Email re third-party sighting
apenso5_vol_8_p1837
apenso5_vol_8_p1838
1839-Missing page
apenso5_vol_8_p1839
MISSING PAGE
1840 to 1843-Email re sighting in Spain
apenso5_vol_8_p1840
apenso5_vol_8_p1841
apenso5_vol_8_p1842
apenso5_vol_8_p1843
apenso5_vol_8_p1843a
1844 to 1845-Email re sighting in Madeira
apenso5_vol_8_p1844
apenso5_vol_8_p1845
1846-Fax cover page
apenso5_vol_8_p1846
1847 to 1849-Email re sighting in Madeira
apenso5_vol_8_p1847
apenso5_vol_8_p1848
apenso5_vol_8_p1849
1850-PJ biographical file/sketch
apenso5_vol_8_p1850
1851-Missing page
apenso5_vol_8_p1851
MISSING PAGE
1852-Fax cover page
apenso5_vol_8_p1852
1853-Email with attachment
apenso5_vol_8_p1853
1854 to 1855-Missing pages
apenso5_vol_8_p1854
MISSING PAGE
apenso5_vol_8_p1855
MISSING PAGE
1856-Correspondence re IP Madrid
apenso5_vol_8_p1856
1857 to 1858-Email re Interpol RABAT
apenso5_vol_8_p1857
apenso5_vol_8_p1858
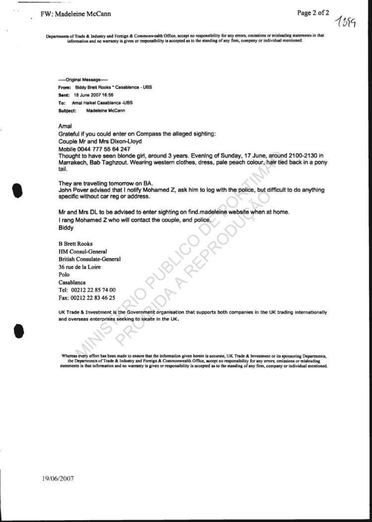
1859-Correspondence
apenso5_vol_8_p1859
1860 to 1861-Statement re sighting in Morocco
apenso5_vol_8_p1860
apenso5_vol_8_p1861
1862 to 1863-Missing pages
apenso5_vol_8_p1862
MISSING PAGE
apenso5_vol_8_p1863
MISSING PAGE
1864-Service information re sighting in Setes, France
apenso5_vol_8_p1864
1865-SIRENE document re Setes sighting
apenso5_vol_8_p1865
1866 to 1868-Statement re sighting on Rotterdam beach with pictures
apenso5_vol_8_p1866
apenso5_vol_8_p1867
apenso5_vol_8_p1868
1869-Email re sighting in Malta
apenso5_vol_8_p1869
1870-Missing page
apenso5_vol_8_p1870
MISSING PAGE
1871 to 1872-Email re Malta sighting
apenso5_vol_8_p1871
apenso5_vol_8_p1872
1873 to 1876-Missing pages
apenso5_vol_8_p1873
MISSING PAGE
apenso5_vol_8_p1874
MISSING PAGE
apenso5_vol_8_p1875
MISSING PAGE
apenso5_vol_8_p1876
MISSING PAGE
1877 to 1892-Malta Information Exchange Documents
apenso5_vol_8_p1877
apenso5_vol_8_p1878
apenso5_vol_8_p1879
apenso5_vol_8_p1880
MISSING PAGE
apenso5_vol_8_p1881
apenso5_vol_8_p1882
MISSING PAGE
apenso5_vol_8_p1883
apenso5_vol_8_p1884
apenso5_vol_8_p1885
apenso5_vol_8_p1886
MISSING PAGE
apenso5_vol_8_p1887
MISSING PAGE
apenso5_vol_8_p1888
apenso5_vol_8_p1889
apenso5_vol_8_p1890
apenso5_vol_8_p1891
apenso5_vol_8_p1892
1893-Fax cover page
apenso5_vol_8_p1893
1894-Fax confirmation
apenso5_vol_8_p1894
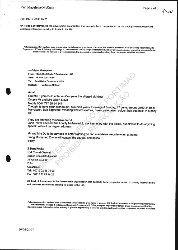
1895 to 1902-Emails re sightings in Marrakech
apenso5_vol_8_p1895
apenso5_vol_8_p1896
apenso5_vol_8_p1897
apenso5_vol_8_p1898
apenso5_vol_8_p1899
apenso5_vol_8_p1900
apenso5_vol_8_p1900a
apenso5_vol_8_p1901
apenso5_vol_8_p1902
1903-Missing page
apenso5_vol_8_p1903
MISSING PAGE
1904-Request to obtain witness statement at McDonalds in Billing, Northampton
apenso5_vol_8_p1904
1905 to 1909-Police details re Northampton sighting
apenso5_vol_8_p1905
apenso5_vol_8_p1906
apenso5_vol_8_p1907
apenso5_vol_8_p1908
apenso5_vol_8_p1909
1910 to 1914-Missing pages
apenso5_vol_8_p1910
MISSING PAGE
apenso5_vol_8_p1911
MISSING PAGE
apenso5_vol_8_p1912
MISSING PAGE
apenso5_vol_8_p1913
MISSING PAGE
apenso5_vol_8_p1914
MISSING PAGE
1915 to 1916-Report on incident report re Northampton
apenso5_vol_8_p1915
apenso5_vol_8_p1916
1917-Email re sighting in Brasil
apenso5_vol_8_p1917
1918-Email re sighting in car from Europol
apenso5_vol_8_p1918
1919 to 1922-Malta Information Exchange documents
apenso5_vol_8_p1919
apenso5_vol_8_p1920
apenso5_vol_8_p1921
apenso5_vol_8_p1922

TO HELP KEEP THIS SITE ON LINE PLEASE CONSIDER

Site Policy HOME PAGE Contact details