|
169-SOCA international
enquiry form re Spanish
sightings |
|
apenso5_vol_1_Pag169 |
 |
|
170 to 172-Missing pages |
|
apenso5_vol_1_Pag170 |
|
MISSING PAGE |
|
apenso5_vol_1_Pag171 |
|
MISSING PAGE |
|
apenso5_vol_1_Pag172 |
|
MISSING PAGE |
|
173-Cover letter re
submission of service
information |
|
apenso5_vol_1_Pag173 |
 |
|
174 to 175-Service
information re sighting in
Pingo Doce in Viseu |
|
apenso5_vol_1_Pag174 |
 |
|
apenso5_vol_1_Pag175 |
 |
|
176-Email re possible
sighting with two Russians |
|
apenso5_vol_1_Pag176 |
 |
|
177 to 178-Service
information re 3 holidayers
to the Algarve |
|
apenso5_vol_1_Pag177 |
 |
|
apenso5_vol_1_Pag178 |
 |
|
179-Service information re
sighting in
Tavira with
vehicle plate check |
|
apenso5_vol_1_Pag179 |
 |
|
apenso5_vol_1_Pag179a |
 |
|
180-Service information re
sighting in KFC at plaza
Colombo, Lisboa |
|
apenso5_vol_1_Pag180 |
 |
|
181-Fax |
|
apenso5_vol_1_Pag181 |
 |
|
182 to 185-Metropolitan
Police report re sighting by
British traveler to Portuga |
|
apenso5_vol_1_Pag182 |
 |
|
apenso5_vol_1_Pag183 |
 |
|
apenso5_vol_1_Pag184 |
 |
|
apenso5_vol_1_Pag185 |
 |
|
186-Email re information
received from Norway |
|
apenso5_vol_1_Pag186 |
 |
|
187 to 188-Informal
translation of Norway
statement (Spanish) |
|
apenso5_vol_1_Pag187 |
 |
|
apenso5_vol_1_Pag188 |
 |
|
189-Email re sighting in
Bairro Alto, Lisbon |
|
apenso5_vol_1_Pag189 |
 |
|
190-Email from IP Madrid |
|
apenso5_vol_1_Pag190 |
 |
|
191 to 196-Various emails
to/from UK/PJ authorities re
sightings |
|
apenso5_vol_1_Pag191 |
 |
|
apenso5_vol_1_Pag192 |
 |
|
apenso5_vol_1_Pag193 |
 |
|
apenso5_vol_1_Pag194 |
 |
|
apenso5_vol_1_Pag195 |
|
MISSING PAGE |
|
apenso5_vol_1_Pag196 |
 |
|
197-Service information re
sighting in Rio de Mouro |
|
apenso5_vol_1_Pag197 |
 |
|
198-GNR letter re
information received via
post |
|
apenso5_vol_1_Pag198 |
 |
|
199 to 200-Statement re Roio
de Mouro sighting |
|
apenso5_vol_1_Pag199 |
 |
|
apenso5_vol_1_Pag200 |
 |
|
201-Fax |
|
apenso5_vol_1_Pag201 |
 |
|
202-Email re submission of
documents |
|
apenso5_vol_1_Pag202 |
 |
|
203-Service information
(poor quality copy) |
|
apenso5_vol_1_Pag203 |
 |
|
204-Missing page |
|
apenso5_vol_1_Pag204 |
|
MISSING PAGE |
|
205-Service information from page 203
continued?? (poor quality copy |
|
apenso5_vol_1_Pag205 |
 |
|
206 to 207-Letter re
sighting of Antonio Brandao
(poor quality copy) |
|
apenso5_vol_1_Pag206 |
 |
|
apenso5_vol_1_Pag207 |
 |
|
208-Letter re sighting by
Antonio Brandao in Super
Color, Beloura Shopping
Center, Sintra |
|
apenso5_vol_1_Pag208 |
 |
|
209-Request for CCTV images
from Beloura Shopping Center |
|
apenso5_vol_1_Pag209 |
 |
|
210-Vehicle registration
check |
|
apenso5_vol_1_Pag210 |
 |
|
211 to 212-Service
information re possible
sighting by journalist in
Lisbon |
|
apenso5_vol_1_Pag211 |
 |
|
apenso5_vol_1_Pag212 |
 |
|
213-Confirmation of fax |
|
apenso5_vol_1_Pag213 |
 |
|
214-Email re sighting in
Lisbon underground station
(English) |
|
apenso5_vol_1_Pag214 |
 |
|
215 to 219-Service
information re sighting in
INtermarche and Lidl in
Condeixa-a-Nova (duplicate) |
|
apenso5_vol_1_Pag215 |
 |
|
apenso5_vol_1_Pag216 |
 |
|
apenso5_vol_1_Pag217 |
 |
|
apenso5_vol_1_Pag218 |
 |
|
apenso5_vol_1_Pag219 |
 |
|
220-Service information re
Condeixa-a-Nova sighting |
|
apenso5_vol_1_Pag220 |
 |
|
221-Missing page |
|
apenso5_vol_1_Pag221 |
|
MISSING PAGE |
|
222 to 225-Statement of
Abdrea Griffin
re sighting
in Alcateia, Algarve |
|
apenso5_vol_1_Pag222 |
 |
|
apenso5_vol_1_Pag223 |
 |
|
apenso5_vol_1_Pag224 |
|
MISSING PAGE |
|
apenso5_vol_1_Pag225 |
 |
|
226 to 227-Service
information re sighting on
the Arrifana beach |
|
apenso5_vol_1_Pag226 |
 |
|
apenso5_vol_1_Pag227 |
 |
|
228 to 229-Service
information re sighting in
coffee shop in Milharado,
Venda do Pinheiro |
|
apenso5_vol_1_Pag228 |
 |
|
apenso5_vol_1_Pag229 |
 |
|
230-Vehicle registration
search |
|
apenso5_vol_1_Pag230 |
 |
|
231-Fax |
|
apenso5_vol_1_Pag231 |
 |
|
232-Service information re
sighting at Fatima shrine
|
|
apenso5_vol_1_Pag232 |
 |
|
233-Service information re
sighting in Caldas das
Rainha |
|
apenso5_vol_1_Pag233 |
 |
|
234-Service information re
anonymous call |
|
apenso5_vol_1_Pag234 |
 |
|
235 to 241-Missing pages |
|
apenso5_vol_1_Pag235 |
|
MISSING PAGE |
|
apenso5_vol_1_Pag236 |
|
MISSING PAGE |
|
apenso5_vol_1_Pag237 |
|
MISSING PAGE |
|
apenso5_vol_1_Pag238 |
|
MISSING PAGE |
|
apenso5_vol_1_Pag239 |
|
MISSING PAGE |
|
apenso5_vol_1_Pag240 |
|
MISSING PAGE |
|
apenso5_vol_1_Pag241 |
|
MISSING PAGE |
|
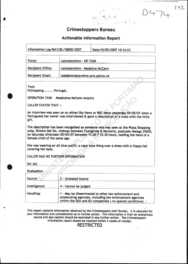
242-Crimestoppers Bureau
information report re Sky
News/BBC interview &
sighting |
|
apenso5_vol_1_Pag242 |
 |
|
243-SOCA international
enquiry form request to
investigate possible Spain
sightings (duplicate) |
|
apenso5_vol_1_Pag243 |
 |
|
244-Missing page |
|
apenso5_vol_1_Pag244 |
|
MISSING PAGE |
|
245-Service information re
sighting in Peniche |
|
apenso5_vol_1_Pag245 |
 |
|
246 to 247-Service
information re sighting in
Amoreiras, Lisbon |
|
apenso5_vol_1_Pag246 |
 |
|
apenso5_vol_1_Pag247 |
 |
|
248-Fax |
|
apenso5_vol_1_Pag248 |
 |
|
249 to 250-Service
information re sighting in
Seixal |
|
apenso5_vol_1_Pag249 |
 |
|
apenso5_vol_1_Pag250 |
 |
|
251-Setubal Police cover
page |
|
apenso5_vol_1_Pag251 |
 |
|
252-Service information re
Seixal sighting (see page
249 to 250) |
|
apenso5_vol_1_Pag252 |
 |