OFFICIAL INQUIRY FILES and DOCUMENTS
APENSOS 05 VOLUME 13

This information belongs to the Ministério Público in Portimão, Portugal.
It was released to the public on 4 August 2008 in accordance with Portuguese Law

2750 to 2751-Email re sighting in Cardiff area
apenso5_vol_13_p0
apenso5_vol_13_p0a
apenso5_vol_13_p2750
apenso5_vol_13_p2751
2752 to 2754-Email with message received from IP Madrid re pictures taken by Clara T. Garcia
apenso5_vol_13_p2752
apenso5_vol_13_p2753
apenso5_vol_13_p2754
2755-Pictures of North Moroccan Family (Bushra)
apenso5_vol_13_p2755
2756-Interpol statement re sighting in France
apenso5_vol_13_p2756
2757 to 2758-Service information re sighting in Castelo Branco
apenso5_vol_13_p2757
apenso5_vol_13_p2758
apenso5_vol_13_p2758a
2759-Email re sighting in Mallorca
apenso5_vol_13_p2759
2760 to 2762-Merton BIU Wimbledon Witness Statement re sighting in/near Sutton on the S4 route
apenso5_vol_13_p2760
apenso5_vol_13_p2761
apenso5_vol_13_p2762
2763-Further details related to email page 7759
apenso5_vol_13_p2763
2764-Missing page
apenso5_vol_13_p2764
2765 to 2766-Email with handwritten note re sighting in Corfu
apenso5_vol_13_p2765
apenso5_vol_13_p2766
apenso5_vol_13_p2766a
2767 to 2768-Service information re sighting in café in Albufeira
apenso5_vol_13_p2767
apenso5_vol_13_p2768
2769 to 2770-Blank pages??
apenso5_vol_13_p2769
apenso5_vol_13_p2770
2771-Email re sighting in Volkswagen in Lisbon
apenso5_vol_13_p2771
apenso5_vol_13_p2771a
2772 to 2773-SIRENE documents
apenso5_vol_13_p2772
apenso5_vol_13_p2772
2774 to 2775-Missing/Blank pages
apenso5_vol_13_p2774
apenso5_vol_13_p2775
2776 to 2780-Emails re sighting in Morocco (Bushra sighting)
apenso5_vol_13_p2776
MISSING PAGE
apenso5_vol_13_p2777
apenso5_vol_13_p2778
apenso5_vol_13_p2779
apenso5_vol_13_p2780
2781-Picture of Bushra family in Morocco
apenso5_vol_13_p2781
2782-Missing page
apenso5_vol_13_p2782
MISSING PAGE
2783 to 2784-Email re sighting in Silves Gare
apenso5_vol_13_p2783
apenso5_vol_13_p2784
2785 to 2786-Missing pages
apenso5_vol_13_p2785
apenso5_vol_13_p2786
MISSING PAGE
2787-Email re information received from IP Rabat
apenso5_vol_13_p2787
2788-Blank page
apenso5_vol_13_p2788
2789 to 2790-Blank/missing pages
apenso5_vol_13_p2789
apenso5_vol_13_p2790
MISSING PAGE
2791 to 2792-Email re sighting in France
apenso5_vol_13_p2791
apenso5_vol_13_p2792
2793-Correspondence
apenso5_vol_13_p2793
2794-Service information re sighting in Spain
apenso5_vol_13_p2794
2795-Blank page
apenso5_vol_13_p2795
2796 to 2797-Email re sighting in Spanish hotel
apenso5_vol_13_p2796
apenso5_vol_13_p2797
2798-Correspondence
apenso5_vol_13_p2798
2799-Document re sighting on a train in Northern Italy
apenso5_vol_13_p2799
2800-Document re sighting in French camping site
apenso5_vol_13_p2800
2801-Service Information cover letter
apenso5_vol_13_p2801
2802 to 2803-Service information re sighting in Workington, Northern England
apenso5_vol_13_p2802
apenso5_vol_13_p2803
apenso5_vol_13_p2803a
2804 to 2806-Email with pictures taken on family holiday in Carvoeiro, Portugal
apenso5_vol_13_p2804
apenso5_vol_13_p2805
apenso5_vol_13_p2806
2807 to 2812-Pictures from Carvoeiro trip
apenso5_vol_13_p2807
apenso5_vol_13_p2808
apenso5_vol_13_p2809
apenso5_vol_13_p2810
apenso5_vol_13_p2811
apenso5_vol_13_p2812
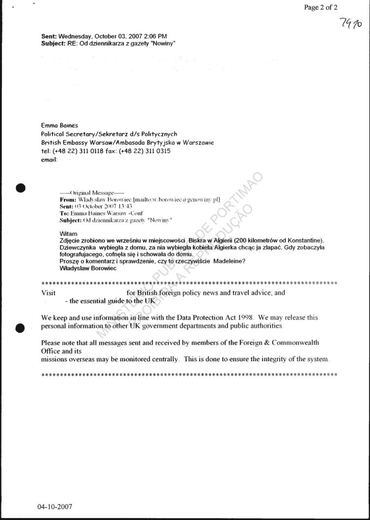
2813 to 2816-Email re Northumbria police statement
apenso5_vol_13_p2813
apenso5_vol_13_p2814
apenso5_vol_13_p2815
apenso5_vol_13_p2816
2817 to 2818-SOCA enquiry form re sighting in Utrecht by Northumbria police
apenso5_vol_13_p2817
apenso5_vol_13_p2818
2819-Email re sighting near Figueira beach, Portugal
apenso5_vol_13_p2819
apenso5_vol_13_p2819a
2820-Email with anonymous picture of child in Spain
apenso5_vol_13_p2820
2821-Missing page
apenso5_vol_13_p2821
MISSING PAGE
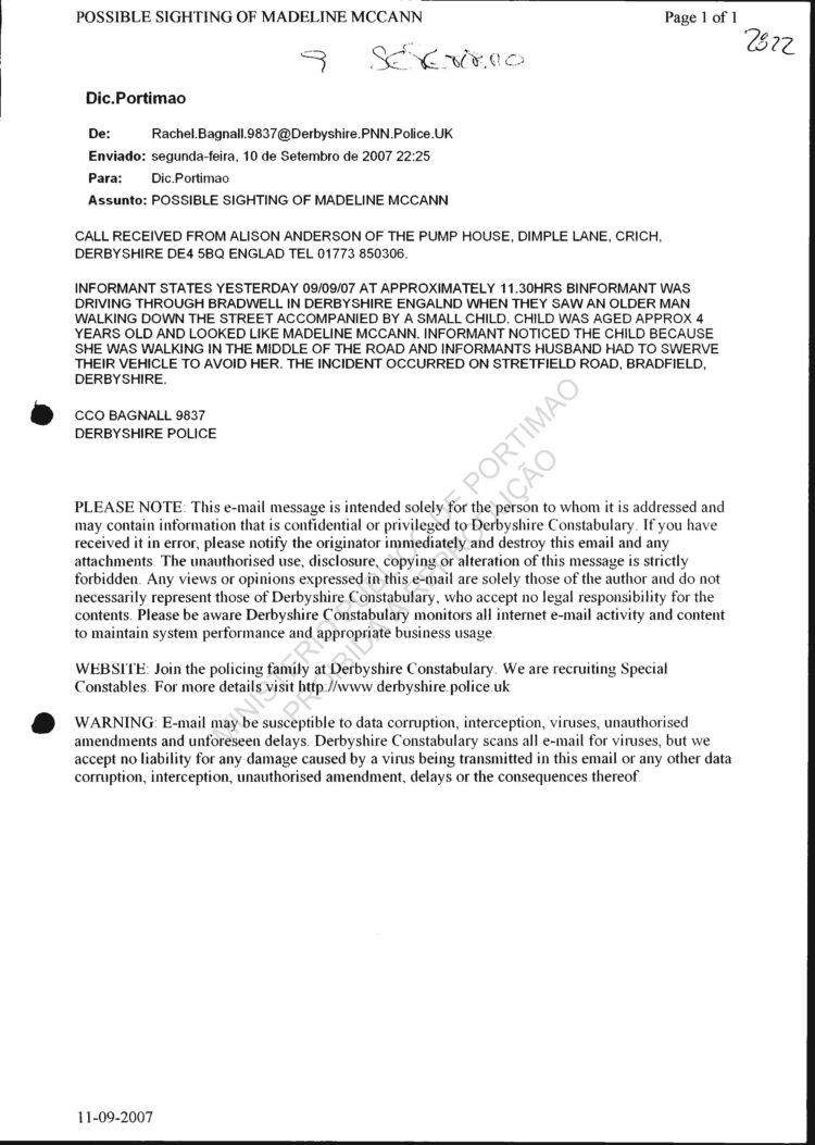
2822-Email re sighting in Derbyshire
apenso5_vol_13_p2822
2823 to 2824-Missing pages
apenso5_vol_13_p2823
apenso5_vol_13_p2824
MISSING PAGE
2825 to 2826-Document re sighting in Skarnes, Norway
apenso5_vol_13_p2825
apenso5_vol_13_p2826
2827-Fax cover page
apenso5_vol_13_p2827
2828-PJ document re sighting in PT
apenso5_vol_13_p2828
2829 to 2830-Witness statement re sighting in Aveiro
apenso5_vol_13_p2829
apenso5_vol_13_p2830
2831 to 2833-Email re sighting in Norway
apenso5_vol_13_p2831
apenso5_vol_13_p2832
apenso5_vol_13_p2833
apenso5_vol_13_p2833a
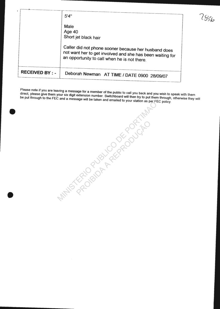
2834 to 2836-Email from Leicestershire police re sighting in Egypt
apenso5_vol_13_p2834
apenso5_vol_13_p2835
apenso5_vol_13_p2836
2837-Email re sighting in Fez, Morocco
apenso5_vol_13_p2837
2838 to 2839-Email re sighting in Brindisi, Italy
apenso5_vol_13_p2838
apenso5_vol_13_p2839
2840-Email re sighting on the Isle of Man
apenso5_vol_13_p2840
apenso5_vol_13_p2840a
2841-Email re sighting in West Yorkshire
apenso5_vol_13_p2841
2842 to 2844-Email re sighting in Nebraska
apenso5_vol_13_p2842
apenso5_vol_13_p2843
apenso5_vol_13_p2844
2845 to 2846-Missing pages
apenso5_vol_13_p2845
apenso5_vol_13_p2846
MISSING PAGE
2847 to 2848-Email re sighting in McDonalds, Woodridge, Illinois, USA
apenso5_vol_13_p2847
apenso5_vol_13_p2848
2849 to 2850-Email re sighting in Alfleia, Egypt
apenso5_vol_13_p2849
apenso5_vol_13_p2850
apenso5_vol_13_p2850a
2851 to 2853-Email re sighting in Mallorca
apenso5_vol_13_p2851
apenso5_vol_13_p2852
apenso5_vol_13_p2853
apenso5_vol_13_p2853a
2854 to 2856-Email and statement re sighting in Torrejica, Spain
apenso5_vol_13_p2854
apenso5_vol_13_p2855
apenso5_vol_13_p2856
2857-Blank page
apenso5_vol_13_p2857
2858 to 2859-Email re sighting in Tenerife
apenso5_vol_13_p2858
apenso5_vol_13_p2859
apenso5_vol_13_p2859a
2860-Email re sighting in Holland
apenso5_vol_13_p2860
apenso5_vol_13_p2860a
2861-Email re sighting in central France
apenso5_vol_13_p2861
apenso5_vol_13_p2861a
2862-Email re call received by the police
apenso5_vol_13_p2862
2863-Missing page
apenso5_vol_13_p2863
MISSING PAGE
2864 to 2865-Email re sighting in Paris
apenso5_vol_13_p2864
apenso5_vol_13_p2865
2866 to 2868-Witness statement re Paris sighting above
apenso5_vol_13_p2866
apenso5_vol_13_p2867
apenso5_vol_13_p2868
2869 to 2870-Email re sighting in Malta
apenso5_vol_13_p2869
apenso5_vol_13_p2870
apenso5_vol_13_p2870a
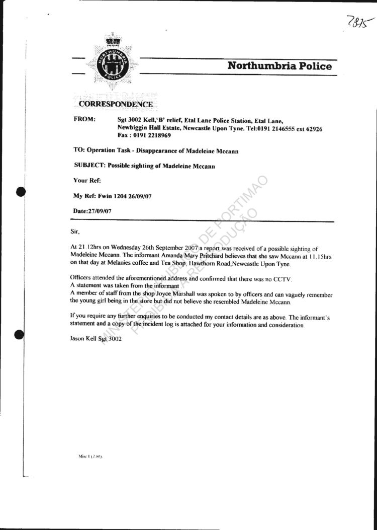
2871 to 2878-Email and witness statement re Northumbria sighting
apenso5_vol_13_p2871
apenso5_vol_13_p2872
apenso5_vol_13_p2873
apenso5_vol_13_p2874
apenso5_vol_13_p2875
apenso5_vol_13_p2876
apenso5_vol_13_p2877
apenso5_vol_13_p2878
2879-Missing page
apenso5_vol_13_p2879
MISSING PAGE
2880-Email re message received from IP Madrid
apenso5_vol_13_p2880
2881 to 2882 -Email re sighting in Morocco
apenso5_vol_13_p2881
apenso5_vol_13_p2882
apenso5_vol_13_p2882a
2883-Email re sighting in Edinburgh City Centre
apenso5_vol_13_p2883
2884-Witness statement re Edinburgh sighting
apenso5_vol_13_p2884
apenso5_vol_13_p2885
MISSING PAGE
apenso5_vol_13_p2886
MISSING PAGE
2887-Email re sighting in Toulouse
apenso5_vol_13_p2887
2888-Missing page
apenso5_vol_13_p2888
MISSING PAGE
2889-Email re sighting in Peebles
apenso5_vol_13_p2889
2890 to 2892-Missing pages
apenso5_vol_13_p2890
apenso5_vol_13_p2891
MISSING PAGE
apenso5_vol_13_p2892
MISSING PAGE
2893 to 2894-Email (poor quality copy)
apenso5_vol_13_p2893
apenso5_vol_13_p2894
2895 to 2896-Witness statement re sighting in Costa del Sol
apenso5_vol_13_p2895
apenso5_vol_13_p2896
2897-Blank page
apenso5_vol_13_p2897
2898 to 2900-Police statement re sighting in Fez, Morocco
apenso5_vol_13_p2898
apenso5_vol_13_p2899
apenso5_vol_13_p2900
2901 to 2906-Witness statement from caller who saw McCann vehicle in Huelva
apenso5_vol_13_p2901
apenso5_vol_13_p2902
apenso5_vol_13_p2903
apenso5_vol_13_p2904
apenso5_vol_13_p2905
MISSING PAGE
apenso5_vol_13_p2906
2907-Email re intelligence report
apenso5_vol_13_p2907
2908 to 2912-Emails re alleged pictures of Madeleine
apenso5_vol_13_p2908
apenso5_vol_13_p2909
apenso5_vol_13_p2910
apenso5_vol_13_p2911
apenso5_vol_13_p2912
2913-Picture
apenso5_vol_13_p2913
2914-Blank page
apenso5_vol_13_p2914
2915 to 2917-Witness statement re sighting in Costa del Sol (Copy?)
apenso5_vol_13_p2915
apenso5_vol_13_p2916
apenso5_vol_13_p2917
MISSING PAGE
2918 to 2920-Emails re message from IP Madrid
apenso5_vol_13_p2918
apenso5_vol_13_p2919
apenso5_vol_13_p2920
apenso5_vol_13_p2920a
2921 to 2923-Email re sighting in Mexico
apenso5_vol_13_p2921
apenso5_vol_13_p2922
apenso5_vol_13_p2923
apenso5_vol_13_p2923a
2924 to 2925 -Email with picture attachment from sighting in Lagos 2007.10.07
apenso5_vol_13_p2924
apenso5_vol_13_p2925
2926 to 2927-Email re sighting on flight from Amsterdam to Memphis International Airport
apenso5_vol_13_p2926
apenso5_vol_13_p2927
2928 to 2929-SIRENE document re Austria sighting
apenso5_vol_13_p2928
apenso5_vol_13_p2929
apenso5_vol_13_p2929a
2930-Email re Dundee City Centre sighting
apenso5_vol_13_p2930
2931 to 2932-Blank/Missing pages
apenso5_vol_13_p2931
apenso5_vol_13_p2932
MISSING PAGE
2933-National Centre for Missing & Exploited Children letter
apenso5_vol_13_p2933
2934 to 2937-NCMEC Lead Report re sighting in Grand Rapids, Michigan
apenso5_vol_13_p2934
apenso5_vol_13_p2935
apenso5_vol_13_p2936
apenso5_vol_13_p2937
2938 to 2941-NCMEC Lead Report re sighting in WalMart in Indio, California
apenso5_vol_13_p2938
apenso5_vol_13_p2939
apenso5_vol_13_p2940
apenso5_vol_13_p2941
2942 to 2943-Email with picture taken in Puerto Rico, Gran Caneria
apenso5_vol_13_p2942
apenso5_vol_13_p2943
2944 to 2945-Picture
apenso5_vol_13_p2944
apenso5_vol_13_p2945
2946-Correspondence
apenso5_vol_13_p2946
2947-Service information
apenso5_vol_13_p2947
2948-PJ correspondence
apenso5_vol_13_p2948
2949-Letter regarding bag found at Faro airport
apenso5_vol_13_p2949
2950-Information from IP Lisboa re possible picture of Madeleine
apenso5_vol_13_p2950
2951-Picture
apenso5_vol_13_p2951
2952-Email with no details
apenso5_vol_13_p2952
2953-Picture
apenso5_vol_13_p2953

TO HELP KEEP THIS SITE ON LINE PLEASE CONSIDER

Site Policy HOME PAGE Contact details