OFFICIAL INQUIRY FILES and DOCUMENTS
APENSOS 05 VOLUME 12

his information belongs to the Ministério Público in Portimão, Portugal.
It was released to the public on 4 August 2008 in accordance with Portuguese Law

2534 to 2536-Email re sighting in Italy
apenso5_vol_12_p0
apenso5_vol_12_p2534
apenso5_vol_12_p2535
apenso5_vol_12_p2536
2537 to 2538-Witness statement re sighting in Belvedere, Italy
apenso5_vol_12_p2537
apenso5_vol_12_p2538
2539 to 2540-Missing pages
apenso5_vol_12_p2539
MISSING PAGE
apenso5_vol_12_p2540
MISSING PAGE
2541-Email re two Malta sightings
apenso5_vol_12_p2541
2542-Portuguese handwritten note re Malta sightings
apenso5_vol_12_p2542
2543-Service information re sighting in Germany
apenso5_vol_12_p2543
2544-Correspondence
apenso5_vol_12_p2544
2545-Service information re phone call from SIC journalist
apenso5_vol_12_p2545
2546 to 2547-Missing pages
apenso5_vol_12_p2546
MISSING PAGE
apenso5_vol_12_p2547
MISSING PAGE
2548-Handwritten note re sighting in a Mercedes in France
apenso5_vol_12_p2548
2549-SIRENE document
apenso5_vol_12_p2549
apenso5_vol_12_p2550
2550 to 2551-SiSone 4All search re sighting in Mercedes in France
apenso5_vol_12_p2551
2552-Missing page
apenso5_vol_12_p2552
MISSING PAGE
2553-Email re sighting in Lisbon
apenso5_vol_12_p2553
2554 to 2557-Strathclyde Police Witness Statement re sighting in Lisbon
apenso5_vol_12_p2554
apenso5_vol_12_p2555
apenso5_vol_12_p2556
MISSING PAGE
apenso5_vol_12_p2557
MISSING PAGE
2558 to 2562-Email re sighting in Lisbon with witness statement (copy of pages 2553 to 2557)
apenso5_vol_12_p2558
apenso5_vol_12_p2559
apenso5_vol_12_p2560
apenso5_vol_12_p2561
apenso5_vol_12_p2562
apenso5_vol_12_p2562a
2563 to 2564-Email re sighting in Amsterdam
apenso5_vol_12_p2563
apenso5_vol_12_p2564
2565 to 2566-Witness statement re sighting in Amsterdam
apenso5_vol_12_p2565
apenso5_vol_12_p2566
2567-Witness statement re sighting in Amsterdam
apenso5_vol_12_p2567
2568 to 2569-Email re sighting in Roscoff, France
apenso5_vol_12_p2568
apenso5_vol_12_p2569
2570-Missing page
apenso5_vol_12_p2570
MISSING PAGE
2571-Handwritten note re Roscoff, France sighting
apenso5_vol_12_p2571
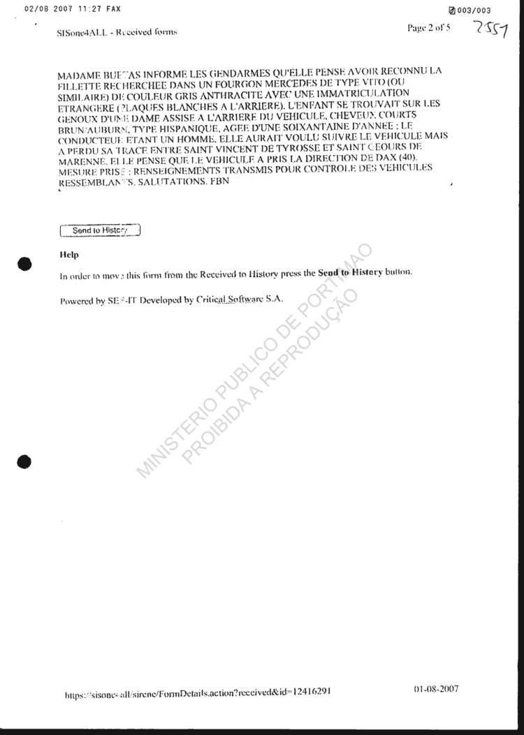
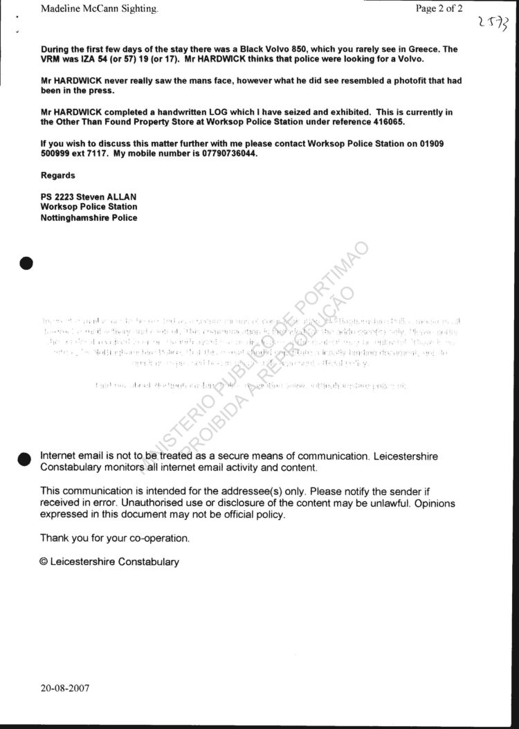
2572 to 2573-Email re sighting in Greece
apenso5_vol_12_p2572
apenso5_vol_12_p2573
2574 to 2578-Email with pictures (taken August 3, 2007 in Spain) reference
apenso5_vol_12_p2574
apenso5_vol_12_p2575
apenso5_vol_12_p2576
apenso5_vol_12_p2577
apenso5_vol_12_p2578
2579 to 2581-Emails?? (poor quality copy)
apenso5_vol_12_p2579
apenso5_vol_12_p2580
apenso5_vol_12_p2581
2582-Blank page
apenso5_vol_12_p2582
2583-Email re McCann family and hire vehicle 2007.10.01
apenso5_vol_12_p2583
2584 to 7585-Witness statement re sighting in/by the Bath Abbey
apenso5_vol_12_p2584
apenso5_vol_12_p2585
2586 to 2587-Email re sighting in Prague
apenso5_vol_12_p2586
apenso5_vol_12_p2587
2588-Handwritten note re Prague sighting
apenso5_vol_12_p2588
2589 to 2591-Missing pages
apenso5_vol_12_p2589
MISSING PAGE
apenso5_vol_12_p2590
MISSING PAGE
apenso5_vol_12_p2591
MISSING PAGE
2592-Email re possible location of Madeleine in Marrakesh outskirts
apenso5_vol_12_p2592
2593-Missing page
apenso5_vol_12_p2593
2594-Email with jpg attachments
apenso5_vol_12_p2594
2595 to 2609-Pictures (poor quality)
apenso5_vol_12_p2595
apenso5_vol_12_p2596
apenso5_vol_12_p2597
apenso5_vol_12_p2598
apenso5_vol_12_p2599
apenso5_vol_12_p2600
apenso5_vol_12_p2601
apenso5_vol_12_p2602
apenso5_vol_12_p2603
apenso5_vol_12_p2604
apenso5_vol_12_p2605
MISSING PAGE
apenso5_vol_12_p2606
MISSING PAGE
apenso5_vol_12_p2607
MISSING PAGE
apenso5_vol_12_p2608
MISSING PAGE
apenso5_vol_12_p2609
MISSING PAGE
2610-Correspondence
apenso5_vol_12_p2610
2611-Interpol document re sighting in the Netherlands
apenso5_vol_12_p2611
apenso5_vol_12_p2611a
2612-Email re sighting?? (poor quality copy)
apenso5_vol_12_p2612
2613-Email re sighting in Adelaide, South Australia
apenso5_vol_12_p2613
2614-Missing page
apenso5_vol_12_p2614
MISSING PAGE
2615-Correspondence from IP Rabat
apenso5_vol_12_p2615
2616-Letter re sighting in Tangier
apenso5_vol_12_p2616
2617-Further correspondence re Tangier sighting
apenso5_vol_12_p2617
2618-Correspondence from IP Wiesbaden
apenso5_vol_12_p2618
2619-Correspondence re sighting in Spain
apenso5_vol_12_p2619
2620-Correspondence re sighting in Praia da Luz in October of 2007
apenso5_vol_12_p2620
2621 to 2622-Email re sighting in Spain
apenso5_vol_12_p2621
apenso5_vol_12_p2622
2623 to 2624-Intelligence report?? (poor quality copy)
apenso5_vol_12_p2623
apenso5_vol_12_p2624
2625-Missing page
apenso5_vol_12_p2625
2626-French correspondence
apenso5_vol_12_p2626
2627 to 2653-Various French document from French Ministry of the Interior and French police
apenso5_vol_12_p2627
apenso5_vol_12_p2628
apenso5_vol_12_p2629
MISSING PAGE
apenso5_vol_12_p2630
apenso5_vol_12_p2631
apenso5_vol_12_p2632
apenso5_vol_12_p2633
apenso5_vol_12_p2634
apenso5_vol_12_p2635
apenso5_vol_12_p2636
apenso5_vol_12_p2637
apenso5_vol_12_p2638
apenso5_vol_12_p2639
apenso5_vol_12_p2640
apenso5_vol_12_p2641
apenso5_vol_12_p2642
apenso5_vol_12_p2643
apenso5_vol_12_p2644
apenso5_vol_12_p2645
apenso5_vol_12_p2646
apenso5_vol_12_p2647
apenso5_vol_12_p2648
apenso5_vol_12_p2649
apenso5_vol_12_p2650
apenso5_vol_12_p2651
apenso5_vol_12_p2652
apenso5_vol_12_p2653
2654-Information re file pages 3889 to 3915
apenso5_vol_12_p2654
2655 to 2656-Email re Spanish letter
apenso5_vol_12_p2655
apenso5_vol_12_p2656
2657 to 2658-Poor quality copy??
apenso5_vol_12_p2657
apenso5_vol_12_p2658
2659-Correspondence
apenso5_vol_12_p2659
2660 to 2661-Email from Belgium Interpol
apenso5_vol_12_p2660
apenso5_vol_12_p2661
2662 to 2666-Letter, documents and clippings re sighting in Dreamland in Belgium
apenso5_vol_12_p2662
apenso5_vol_12_p2663
apenso5_vol_12_p2664
apenso5_vol_12_p2665
apenso5_vol_12_p2666
2667-Email with pictures from IP Haia
apenso5_vol_12_p2667
2668 to 2678-pictures
apenso5_vol_12_p2668
apenso5_vol_12_p2669
apenso5_vol_12_p2670
apenso5_vol_12_p2671
apenso5_vol_12_p2672
apenso5_vol_12_p2673
apenso5_vol_12_p2674
apenso5_vol_12_p2675
apenso5_vol_12_p2676
apenso5_vol_12_p2677
apenso5_vol_12_p2678
2679 to 2680-Missing pages
apenso5_vol_12_p2679
MISSING PAGE
apenso5_vol_12_p2680
MISSING PAGE
2681-Correspondence
apenso5_vol_12_p2681
2682-Service information re sighting in Lourdes-Franca
apenso5_vol_12_p2682
2683-Missing page
apenso5_vol_12_p2683
MISSING PAGE
2684-Confirmation of fax
apenso5_vol_12_p2684
apenso5_vol_12_p2684a
2685 to 7686-Email re sighting in Brussels
apenso5_vol_12_p2685
apenso5_vol_12_p2686
2687-Fax confirmation with handwritten notes
apenso5_vol_12_p2687
2688-Missing page
apenso5_vol_12_p2688
2689-Correspondence document translated
apenso5_vol_12_p2689
2690-Statement re sighting in Ibiza
apenso5_vol_12_p2690
2691 to 2692-Email re information received by Kennemerland police
apenso5_vol_12_p2691
apenso5_vol_12_p2692
2693-Missing page
apenso5_vol_12_p2693
MISSING PAGE
2694 to 2695-Email re sighting in Wales
apenso5_vol_12_p2694
apenso5_vol_12_p2695
2696 to 2697-SIRENE document
apenso5_vol_12_p2696
apenso5_vol_12_p2697
apenso5_vol_12_p2697a
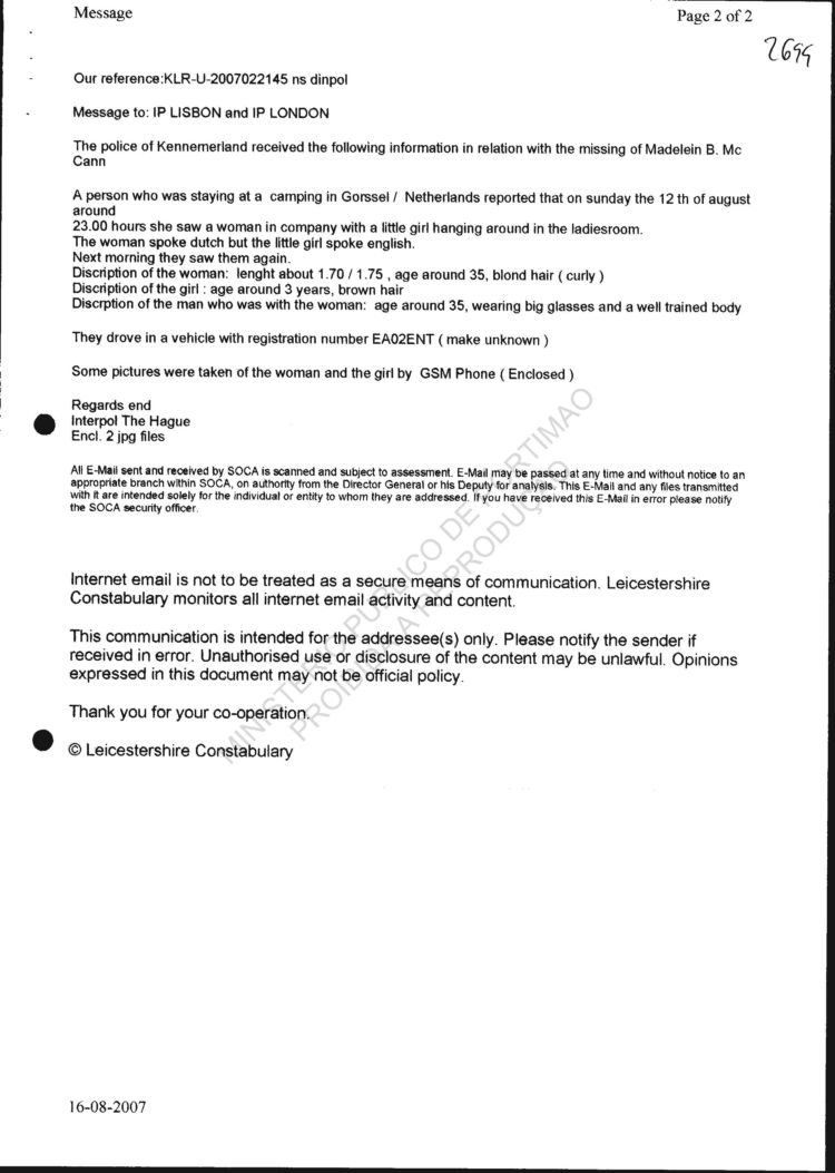
2698 to 2699-Email re sighting in the Netherlands
apenso5_vol_12_p2698
apenso5_vol_12_p2699
2700-Picture
apenso5_vol_12_p2700
2701-Missing page
apenso5_vol_12_p2701
MISSING PAGE
2702-Email?? (poor quality copy)
apenso5_vol_12_p2702
2703-Email re Brussels information
apenso5_vol_12_p2703
2704-Correspondence
apenso5_vol_12_p2704
2705-Letter re sighting in Ibiza
apenso5_vol_12_p2705
2706-Handwritten note re sighting in Bangladesh
apenso5_vol_12_p2706
2707 to 2708-Email re sighting in India
apenso5_vol_12_p2707
apenso5_vol_12_p2708
2709-Missing page
apenso5_vol_12_p2709
2710-Email re sighting in Spain
apenso5_vol_12_p2710
2711 to 2712-Missing pages
apenso5_vol_12_p2711
apenso5_vol_12_p2712
MISSING PAGE
2713-Statement re sighting in Vandouvres
apenso5_vol_12_p2713
2714-Email re sighting in Spain
apenso5_vol_12_p2714
2715-Missing page
apenso5_vol_12_p2715
MISSING PAGE
2716-Email re sighting in Morocco
apenso5_vol_12_p2716
2717-Missing page
apenso5_vol_12_p2717
2718-Email re sightings in Spain
apenso5_vol_12_p2718
2719 to 2720-Leicestershire Constabulary multiple sightings in Spain document
apenso5_vol_12_p2719
apenso5_vol_12_p2720
2721 to 2723-Missing page
apenso5_vol_12_p2721
apenso5_vol_12_p2722
MISSING PAGE
apenso5_vol_12_p2723
MISSING PAGE
2724-Poor quality copy
apenso5_vol_12_p2724
2725-Handwritten note re sighting in Hotel in Chiclana, Spain
apenso5_vol_12_p2725
2726 to 2728-Witness statement re sighting in Chiclana, Spain
apenso5_vol_12_p2726
apenso5_vol_12_p2727
apenso5_vol_12_p2728
2729-Missing page
apenso5_vol_12_p2729
MISSING PAGE
2730-Email re sighting in Sanctipetri
apenso5_vol_12_p2730
2731 to 2733-Witness statement re sighting in Sanctipetri
apenso5_vol_12_p2731
apenso5_vol_12_p2732
apenso5_vol_12_p2733
2734-Missing page
apenso5_vol_12_p2734
MISSING PAGE
2735-Fax
apenso5_vol_12_p2735
2736-Document re sighting in Velas de Sao Joao
apenso5_vol_12_p2736
2737 to 2738-Service information re sighting in Velas de Sao Joao
apenso5_vol_12_p2737
apenso5_vol_12_p2738
apenso5_vol_12_p2738a
2739 to 2741-Email with letter attachment from unknown person
apenso5_vol_12_p2739
apenso5_vol_12_p2740
apenso5_vol_12_p2741
apenso5_vol_12_p2741a
2742 to 2749-Email re sighting in Bournemouth?
apenso5_vol_12_p2742
apenso5_vol_12_p2743
apenso5_vol_12_p2744
apenso5_vol_12_p2745
apenso5_vol_12_p2746
apenso5_vol_12_p2747
apenso5_vol_12_p2748
apenso5_vol_12_p2749

TO HELP KEEP THIS SITE ON LINE PLEASE CONSIDER

Site Policy HOME PAGE Contact details